오르조
2025년 12월 3일

안녕하세요! 미적분은 많은 고등학생들이 특히 어려워하고 부담스러워하는 수학 단원이죠. 하지만 미적분은 내신·수능에서 변별력을 만드는 핵심이에요. 그래서 미적분의 중요성부터, 함수의 극한과 미분·적분까지 개념과 공부법을 시리즈로 정리했어요.
미적분 개념정리 1탄 : 미적분 실생활 활용 사례 ↗️
미적분 개념정리 2탄 : 함수의 극한과 함수의 연속 ↗️
미적분 개념정리 3탄 : 미분 정의부터 미분하는 법, 미적분 공부법까지! ↗️
미적분 개념정리 4탄 : 적분이란? 수포자를 위한 적분 개념, 공식, 공부법 가이드 ↗️
이전 3탄 글에서 미분의 개념을 잘 이해하셨나요? 그렇다면 이번 4탄에서는 먼저 적분의 개념과 공식을 쉽게 풀어 설명할게요. 그리고 핵심 공식을 모아 요약한 뒤, 마지막에는 적분 잘하는 공부법으로 마무리할게요. 1. 상세 설명 → 2. 공식 모음 → 3. 공부법의 흐름으로 구성했으니, 적분이 막연히 두렵게 느껴지더라도 끝까지 집중해주세요!
1. 적분 정의와 개념 정리 (적분 공식 포함)
2022 개정 교육과정 수학 미적분1 목차를 기반으로 한, 적분 개념의 목차는 다음과 같아요. 큰 그림을 먼저 머릿속에 그려보면 적분을 처음 배우더라도 쉽게 이해할 수 있을 거에요 :)

문제풀이 앱인 오르조에서 ‘오르조 개념 정복’이라는 개념서에도 아래 개념 설명을 상세 확인할 수 있어요.
→ 앱에서 자세히 확인하기

a. 부정적분 공식과 정의
부정적분 정의(원시함수, 적분상수 C)를 알아볼게요. 부정적분 미분 간의 관계도 알아볼게요:

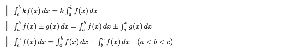
부정적분 계산과 성질을 배워볼게요:

b. 정적분 공식과 정의
정적분 정의와 성질을 알아볼게요:

정적분 넓이 간의 관련성을 살펴볼게요:

정적분으로 정의된 함수 미분과 극한을 배워볼게요:

c. 정적분의 활용
두 곡선 사이의 넓이, 이차함수 정적분 넓이 공식을 알아볼게요:

역함수 정적분을 주로 배워볼게요:

속도 적분에 기반한 위치의 변화량과 움직인 거리 공식을 살펴볼게요:

2. 적분 공식 모음 한눈에 보기
앞서 배운 적분 개념과 공식을 요약·정리하고 넘어갈게요!
부정적분 정의
부정적분 성질

정적분 정의
정적분 성질

정적분 넓이 공식

정적분으로 정의된 함수의 미분과 극한

속도 적분

3. 미적분 잘하는 공부법 - 적분 편
지금까지 적분의 정의와 개념, 그리고 기본 공식까지 살펴봤다면, 사실 진짜 공부는 이제부터 시작이에요! 개념을 한 번 훑어본 뒤에는 반드시 직접 손으로 여러 문제를 풀어보며 익혀야 해요. 앞으로는 어떤 순서로 개념 복습을 하고, 어떤 수준의 문제를 풀면 좋을지 단계별 적분 공부법을 차근차근 알려드릴게요! (공부법의 큰 틀은 각 편 별로 비슷해요)
1. 소단원 적분 예제
앞에서 적분 정의와 개념을 한번 본 건 개념서를 한번 훑은 것과 비슷해요. 개념을 처음 봤으니까 예제를 풀어보면서, 적분의 개념을 익히길 추천해요.

모든 소단원 예제를 직접 오르조 앱에서 쓰면서 풀고 싶다면, 오르조 개념 정복 콘텐츠를 이용해봐요!
→ 오르조 개념 정복에서 예제 풀기
2. 대단원 평가
소단원 예제까지 모두 마무리했다면, 대단원 평가를 진행해야 해요.

모든 대단원 평가 문제를 직접 오르조 앱에서 쓰면서 풀고 싶다면, 오르조 개념 정복 콘텐츠를 이용해봐요! 단원 평가 문제는 비교적 쉬운 평가원·교육청 기출 문제로 구성되어 있어서, 적분 개념을 익히면서 동시에 실전 감각까지 기를 수 있어요.
→ 오르조 개념 정복에서 단원평가 풀기
3. 적분 기출문제 모음 풀이
단원 평가까지 다 풀었으면, 본격적으로 적분 기출문제를 풀어보는 게 좋아요. 반복해서 틀리는 유형의 기출문제가 있다면, 복습을 통해 취약한 개념을 극복하는 게 중요해요.

최신 년도까지 유형별로 정리된 적분 기출문제를 오르조 앱에서 직접 쓰면서 풀고 싶다면, 오르조 유형 기출집을 이용해봐요! 취약 유형에 대한 복습 기능까지 지원해요.
→ 오르조 유형 기출집 풀기
4. 적분 개념 리마인드
개념은 누구나 시간이 지나면서 희미해지기 마련이에요. 잘 기억이 안나거나 적분 기출문제를 풀다가 관련 적분 개념이 궁금해질 때, 개념서 설명을 뒤지지 않고 바로바로 적분 개념을 질문하고 확인할 수 있으면 베스트겠죠?

오르조 AI 코치 기능을 통해, 희미해진 적분 개념을 바로바로 리마인드해봐요!
→ 오르조 AI 코치로 개념 리마인드하기

